Beta函数计算器
Beta函数计算器用于计算两个给定正数x和y的Beta函数B(x,y)。
Beta函数
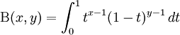
在数学中,Beta函数(也称为第一类Euler积分)是由以下定义的特殊函数:

Beta函数是对称的,意味着B(x,y)= B(y,x)。 Beta函数通过以下公式与Gamma函数相关:
![]()
引用此内容、页面或工具为:
"Beta函数计算器" 于 https://MiniWebtool.com/zh-cn/beta函数计算器/,来自 MiniWebtool,https://MiniWebtool.com/
您还可以尝试我们的 AI数学解题器 GPT,通过自然语言问答解决您的数学问题。